Fast and sensitive infrared (IR) detectors that operate at room temperature are in great demand in various applications such as security, environmental monitoring, remote control, biomedical applications, optical communications, and thermal imaging, as well as cutting-edge technologies like smart automobiles and robotic navigation1. Novel nanomaterials such as ZnS, MoS2, and WS2 have been developed for achieving fast, sensitive, and flexible photodetectors in recent years. Carbon based materials have the advantages of wideband absorption, fast response, good electrical conductivity, low cost, and good stability, etc, which have gained great attention as one of the most promising materials for flexible infrared detectors.
However, enhancing the sensitivity while maintaining a fast response speed remains a great challenge. During the bolometric sensing, the thermal response of a bolometer can be simplified as
, where C is the heat capacitance, ε is the coefficient of absorption, P is the radiation power, G is the thermal conductance, T and Ts are the temperature of the bolometer and the surrounding temperature. This equation shows that to achieve a high sensitivity, minimizing the thermal connection to environment (G) is necessary. In addition, low specific heat capacity (C) is essential for fast detection. By reducing the density of the bolometric materials, the requirements of minimizing G and C can be met simultaneously.
CNTs based aerogels (CAs) have drawn great attention in recent years for various applications due to its ultra-low density and high specific surface area. The main preparation method of carbon nanotube aerogel is sol-gel method with different drying methods, including atmospheric drying, supercritical drying and freeze-drying. Then CAs can be obtained by pyrolysis. The structure with two-level voids (inter-tube pores and hollow core of CNTs) have been utilized to achieve ultra-low densities in CAs. Moreover, due to the ultra-low density and the high thermal contact resistance among neighboring CNTs, CAs are endowed with ultra-low thermal conductivity. This property is essential for reducing the energy loss during bolometric sensing. However, the previous works mainly focused on the mechanical properties and thermal insulation properties. The temperature dependent electrical transport in CAs has not been reported. In addition, the bolometric performance of CAs remain unknown.
Recently, Assistant Professor Yangsu Xie of the College of Chemistry and Environmental Engineering, Shenzhen University published the latest research progress on 《ACS Applied Materials Interfaces》 (IF:10.383, JCR Engineering Technology Region 1, TOP Journal). The title is 《Ultra-Low Density Carbon Nanotubes Aerogel Film for Fast and Sensitive Bolometric Sensing》. The first author of this paper is Yuanhong Huang, a postgraduate student; the corresponding author is Yangsu Xie special associate researcher; the co-authors include Lujie Wei, Tingting Chen and Tianhang Xu, postgraduate students; Yifei Cai and Yayi Guo, undergraduates. College of Chemistry and Environmental Engineering of Shenzhen University is the first completed unit and the corresponding unit.

This work synthesizes carbon nanotube aerogel films (CAF) with ultra-low density of 1.33 mg·cm-3. The transient electrothermal (TET) technology is used to characterize the thermal and electrical transport of CAF in the temperature range of 320 K to 10 K. CAF has record-low thermal conductivity (2.5 mW·m-1·K-1 at 320 K) and thermal diffusivity (2.24×10-6 m2·s-1 at 320 K) in vacuum. The TCR of CAF is -0.11%/K at 295 K, which is 57% higher than that of MWCNT films. In addition, the comprehensive bolometric performance of carbon nanotube aerogels are tested and analyzed, including the photothermal response, resistivity responsivity, and the response time to lasers of a broad spectrum from ultraviolet to near-infrared. The relative responsivity of CAF to laser of different wavelengths are found to be consistent. The response time of CAF with 200 μm suspended length is measured to be as short as 2.95~3.03 ms (framing rate of 330~339 per second). In addition, the resistive response of the CAF sample to blackbody radiator and the radiation of the human hand also shows a good sensitivity and repeatability. These results demonstrate the promising application of CAF as a sensitive and fast-response uncooled bolometer.

Figure 1. (a) The schematic showing the preparation process of CAF. (b) A digital photo showing the morphology of the resulting CAF film. (c) A photo showing the ultra-low density of a bulk CAs.

Figure 2. (a) The voltage−time profiles under the 405 nm laser irradiation and the Joule heating (with offset for comparison). (b) The transient response data to laser irradiation of different wavelengths. (c) Comparison of the normalized voltage versus time profiles of the laser irradiation and Joule heating, which confirms that the resistive response to the laser irradiation is a heating effect. (d) The response time to the Joule heating and to the laser irradiation of five different wavelengths.
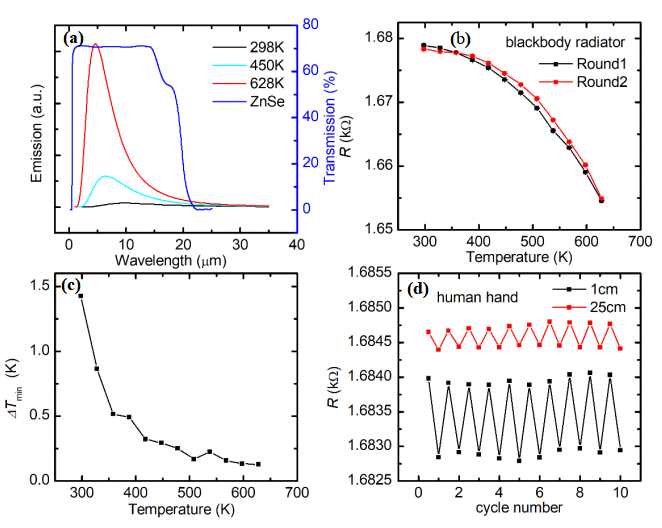
Figure 3. (a) Wavelength-dependent radiation power distribution of the blackbody radiation when its temperature is 298, 450 and 628 K, respectively (left axis), calculated based on the Planck's blackbody radiation. The transmission spectrum of ZnSe windows is presented in the right axis. (b) The CAF sample’s resistance response to the changing temperature of a blackbody radiator (measurement error ≤5%) at 30 cm distance. (c) The minimum detectable temperature against the temperature of the blackbody radiator at 30 cm distance. (d) 10 cycles of resistive response under the influence of a human hand at a distance 25 cm and 1 cm distance from the ZnSe window.
The research was supported by the National Natural Science Foundation of China and the Natural Science Foundation of Guangdong Province.
See full text link: //pubs.acs.org/doi/10.1021/acsami.2c20099